atasaspal.com – Cak… tadi siang ada sebuah pesan masuk di aplikasi wa dari nomor tak dikenal menanyakan tentang harga Vario bulan ini di Ngawi. Hm… sebuah tanda bahwa motor matic 2 valve Honda ini tetap berada pada top performance dalam menarik hati market dibelahan barat bumi Jawa Timur ini… Lantas pertanyaannya adalah berapakah harga sang matic volume maker Honda ini?

- Pasca Touring Ratusan Kilometer Badan Remuk? Kamu Belum Melakukan Trik Ini!
- Jangan Sepelekan! Tips Tetap Kompak Selama Touring: Kesetiaan pada Aspal dan Kepercayaan di Balik Kemudi
- Nyoride Syahdu di NGASAB: Waktunya “Bapack-Bapack” Surabaya Unjuk Gigi Bareng PCX160!
- Gaspol Tapi Tetap Santun: Cara Ladies Biker Rayakan Hari Kartini di ‘Zen on Wheels’
- Waktunya Tampil Keren! Honda Genio Ajak Anak Muda Surabaya City Rolling Sambil Tebar Pesona (dan Tetap Aman!)
- Menjemput Mentari di Ujung Jawa: Catatan Perjalanan Sunrise Of Java Expedition
- Saat Si “Arjuno” Pulang Kampung: Rayain Gaya Bareng Pacar Idaman, Honda Stylo!
- 750 Km Menjemput Pegal: Tutorial Menyiksa Diri secara Estetik bersama ADV 160 RoadSync!
- ADV 160 RoadSync, Menjemput Sinar Surya Pertama Jawa
- Vario 125 Street Hanya Sebagai Pagar Betis?
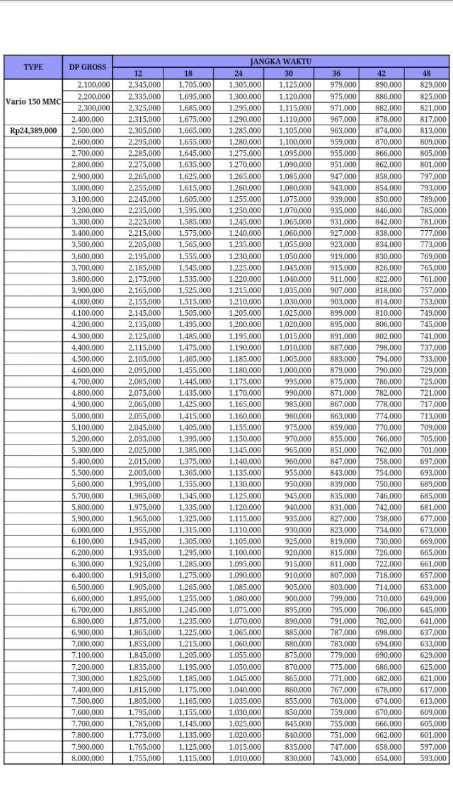
Yup, menurut cak Ferdian, kolega A’A di MPM ngawi, saat A’A tanyakan perihal harga sang matic sejuta umat dari Honda ini, harga vario 150 Rp 24.389.000.- cak…. Sebuah harga yang cukup valuable for buy cak…

Yup… itulah sedikit info tentang harga Vario 150 OTR ngawi bulan ini dan semoga secuil info ini bermanfaat untuk kita semua…
Contact Person
Email: atasaspal@gmail.com
Whatsapp: 085746893262
Facebook: Khoirul Anwar
IG: atasaspal
youtube: atasaspal vlog
Keep Safety Riding

