atasaspal.com – cak… Honda CRF150L semakin kesini semakin menjadi primadona bagi para trabaser dan pecinta offroad. Makanya tidak heran jika kita sering menjumpai sang motor trail kubikasi mesin bersih 149 cc berpower maksimal 9,51 kW(12,91 PS)/8.000 rpm dan torsi maksimal 12,43 Nm(1,27 kgf.m)/6.500 rpm diberbagai pelosok. Lantas pertanyaannya adalah berapakah harga CRF150L di Tulungagung?

- Seru-seruan Bareng di Honda Ramadan Care 2026: Cara Kece MPM Honda Jatim Berbagi Berkah
- Beli Motor Gratis Puluhan Honda BeAT Dan Uang Tunai!
- Festival Vokasi Satu Hati 2026 Nasional, Perwakilan MPM Honda Jatim Raih Juara!
- Musim Hujan Datang, Jangan Lupa Tetap Kece dan #Cari_Aman di Jalan!
- Intip PCX 160 2026, Makin Aduhai!
- AHM Unjuk Gigi Di Ajang IIMS 2026!
- Gokil! Dua Tahun Beruntun, MPM Honda Jatim Juara 1 CSR AHM 2026
- #Cari_Aman: Hindari 5 Perilaku Berisiko demi Keselamatan Berkendara
- Habis BeAT Terbitlah PCX. Pengundian Terakhir UKH 2025 di Trenggalek, Konsumen Raih Honda BeAT; 2026 Siapkan Honda PCX
- All New Honda Vario 125 Night Ride di Surabaya Dengan Penuh Gaya
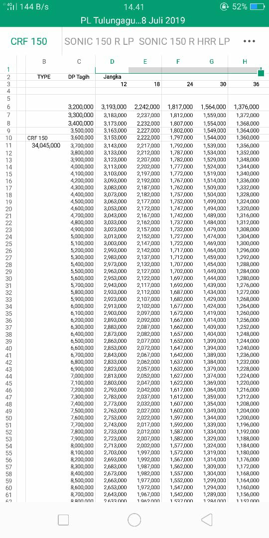
Dikirimkan oleh sist Inanda, MPM Tulungagung, diketahui sekarang bahwa harga CRF150L Tulungagung sebesar Rp 30.045.000.- cak… itu untuk pembelian secara cash… la terus untuk pembelian secara kredit, berapakah uang muka minimal untuk menebus motor trail Honda ini?

Monggo untuk lebih lengkapnya Panjenengan simak saja pada gambar diatas ya cak… kira-kira skema kredit mana yang klik untuk Panjenengan… hehehe…. So, berapakah Harga CRF150L Tulungagung? Jawabannya Rp 30.045.000.- cak…
Semoga secuil info ini bisa bermanfaat untuk kita semua…
Contact Person
Email: atasaspal@gmail.com
Whatsapp: 085746893262
Facebook: Khoirul Anwar
IG: atasaspal
youtube: atasaspal vlog
Keep Safety Riding

