atasaspal.com – cak…. mempunyai gurat desain retro modern, desain yang compact, lekukan-lekukan bodinya yang kalem begitu mengalir dari depan sampai belakang berpadu dengan shape lampu utama, sein juga stoplamp menjadikan Honda Genio 110 sebagai primadona baru segmen matic fahionable tanah air selain Scoopy tentunya…. Dan menjadi sebuah magnet baru tentunya harga sang matic retro ini menjadi sebuah sesuatu hal yang tentunya banyak dikepoin.

- Uji PCX RoadSync Tenaga Ngempos Di JLS Tulungagung – Trenggalek?
- Ready Vario 125 Terbaru! Lebih Ganteng, Lebih Sporty, Sumpah Gak Ngapusi!
- Ngopi Santai Sambil Nunggu Jodoh? GAK DULU! Mending ‘GATHERING & TOURING’ Di Honda PCX DAY 2025!
- Vario 125 Terbaru Bikin Step Up, Bro! Keren Maksimal, Gaya Bebas!
- Ratusan Honda CRF Mengamuk di Trawas Ngegas Sampai Limit!
- Gas Pol! Puncak Honda Bikers Day 2025 Siap ‘Serbu’ Garut dengan Puluhan Ribu Bikers!
- Gaspol ke HBD 2025? Jangan Sampai Zonk, Bro! Ini Tips Anti-Teler ala Honda!
- Dari PCX Hingga Teriak “WANI!” Bareng Persebaya! Sebuah Kisah Gila yang Asyik
- Waktunya Nge-Gas! Rasakan Sendiri Sensasi “SUV” Motor Matic Baru Honda ADV160 di Trans Icon Mall Surabaya!
- Jangan Nempel Kayak Perangko! Jaga Jarak 3 Detik Biar #Cari_Aman di Jalan!
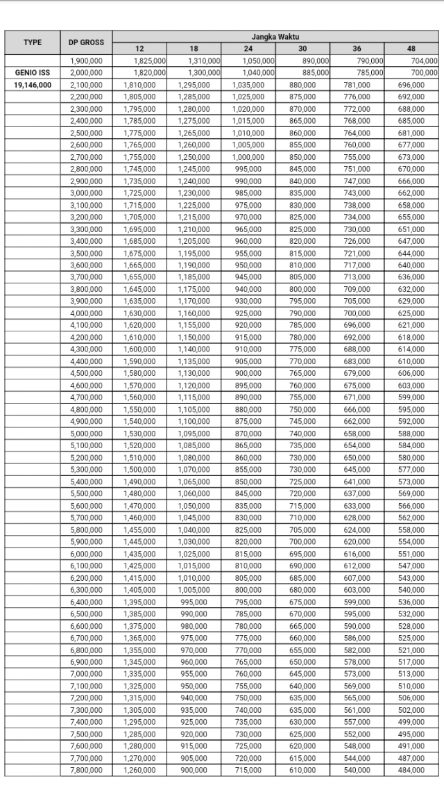
Berapakah harga Honda Genio 110 OTR ngawi bulan Desember ini? Kembali cak Ferdian yang cepat tanggap dan memberikan 2 buah gambar screenshoot yang didalamnya adalah harga Honda Genio di Ngawi versi CBS dan ISS.
Ada dua buah harga yakni 18 jutaan dan 19 jutaan. Langsung hisa ditangkap jika yang 18 jutaan adalah harga Honda Genio 110 versi CBS dan yang 19 jutaan adalah versi iss cak…
Ternyata matic fahionable Honda ini secara harga cukup woth to buy cak… lantas berapakah harga OTR dari sang motor matic retro terbaru Honda ini? monggo disemak dua gambar dibawah ini dan semoga secuil info ini bermanfaat.


Contact Person
Email: atasaspal@gmail.com
Whatsapp: 085746893262
Facebook: Khoirul Anwar
IG: atasaspal
youtube: atasaspal vlog
Keep Safety Riding

